《两小儿辩日》是六年级语文课本上的一篇古文,争论的是太阳何时离我们更远。如何从物理视角解释这一问题?来看这几位初三同学的分析>>>
撰文/王瑛璇 曾雅乔 迟浒辰(北京市陈经纶中学)
编辑/刘昭 新媒体编辑/李云凤
《两小儿辩日》是我们在六年级语文课本上学的一篇古文,出自《列子·汤问》,原文如下:孔子东游,见两小儿辩斗,问其故。一儿曰:“我以日始出时去人近,而日中时远也。”一儿曰:“我以日初出远,而日中时近也。”一儿曰:“日初出大如车盖,及日中则如盘盂,此不为远者小而近者大乎?”一儿曰:“日初出沧沧凉凉,及其日中如探汤,此不为近者热而远者凉乎?”孔子不能决也。两小儿笑曰:“孰为汝多知乎?”
小学的时候我就一直好奇,他们两个人到底谁说对了呢?究竟太阳何时离我们远呢?为了解决这个问题我们深入学习了相关物理知识,今天我们从科学的角度来分析“两小儿辩日”。
太阳何时离我们远?
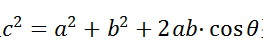
日地距离是指日心到地心的距离,由于地球的自转和公转,每一时刻地球上的每一个位置与太阳的距离都在变化。其中主要变化是由于地球公转引起的,地球绕太阳公转的轨道为椭圆如图1,其中半长轴为
,半短轴为
,焦距为
,其偏心率为0.0167。地球公转一圈大概需要365天,而早上到中午仅经历约6个小时,所转过的角度
。假设如图1所示早上地球位于A点,那么中午地球位于B点已知太阳半径
,如图1所示
。设CB=R,则C’B=2a-R,根据余弦定理
,列出方程,可以求得
,
。变化量为0.0001亿千米,相对于整体极其微小,可以忽略不计。所以其实太阳距我们的距离在一天之内我们认为是不变的。
图 1
为什么中午我们会感觉热呢?
根据上述的分析,我们知道我们距太阳的远近在早上和中午近似相同,所以距离不是影响我们对温度感知的主要因素。人体所感知的温度,主要是空气温度即气温,空气中的热量主要来源于太阳辐射(指太阳以电磁波的形式向外传递能量,太阳向宇宙空间发射的电磁波和粒子流)。太阳的辐射到达地面后,一部分被反射,一部分被地面吸收,使地面升温。地面再通过辐射、传导和对流等方式将热量传给空气,这是空气中热量的主要来源。影响地面温度的因素主要有三点:热量积累,能量密度和能量削减。
从热量积累方面来看:夜间天上挂的是明月,没有太阳、没有辐射,因此大地也没有太阳输送的热量,导致气温不高;而早晨天刚刚亮,太阳辐射较小,且地面没有一定的热量积累,与空气温度温差较小,几乎不向其传递热量,导致早晨“沧沧凉凉”。而到中午时,地面经过近6个小时太阳的照射而积累的热量,使得地面与空气具有较大的温度差,地面向空气传递热量,空气温度升高,人体感知的温度也随之升高。因此“日中如探汤”并非“近者热而远者凉”。
从能量密度方面来看:地面辐射量与太阳辐射紧密相关。太阳辐射的能量在各个方向上是均匀分布的。如图2所示,早上,太阳斜射向大地,因为地球是球体,它的切面是弧形,所以照射的单位面积更大;中午,太阳直射地面,这时它照射到的地面面积比早上的小。因为太阳对地球释放的太阳辐射蕴含的能量在单位时间内是一定的,所以中午照射到的地面面积小,能量密度大,这也会使得中午地面温度高,空气温度高,人体感知温度高。
图 2
从能量削减方面来看:由于早晨太阳高度角小,穿越的大气路径长,因此大气对太阳辐射的削弱作用会更大,到达地面的太阳辐射就会更弱;但在中午时,太阳的高度角大,穿越的大气路径短,大气对太阳辐射的削弱作用小,到达地面的太阳辐射大,这也是使得中午大气温度高于早上的原因之一。
为什么早上我们看到的太阳大?
早上与中午的日地距离几乎不变,那么为什么我们看到早上的太阳会大呢?是眼睛欺骗了我们吗?
通过初中物理的学习我们知道人眼的晶状体可以被视为一个凸透镜,当不同波长的光同时通过人眼晶状体时,波长短的光焦距短,落在视网膜前面;波长长的光焦距长,落在视网膜后面。因此在视网膜上的成像清晰度就有一定的差别,长波长的暖色成像焦距不准确,在视网膜上形成的像模糊不清,具有某种扩散性;短波长的冷色成像比较清晰,具有某种收缩感。这就是我们平常凝视红色时会产生眩晕现象的原因,如果我们改看青色就没有这种现象了。因此从同一个位置发射不同颜色的光,暖色系的光会让人觉得距离更近,而冷色系的光往往会让人觉得距离更远。早上的太阳是红色的,中午的太阳是白色的,所以人们觉得早上的太阳更远,中午的太阳更近。
这样的视觉错误还有很多种,如图3所示。这些视觉错误会影响人们对距离、大小的判断。如图3所示,人们往往会觉得中心白色块比黑色块大。如图3所示,人们往往会觉得中间的灰线是斜的。这就是色彩的膨胀感与收缩感。
图3(a)
图3(b)
在视网膜成像时,人眼晶状体不同部分对入射光线的折射能力不同,使光线经折射后不再能汇聚在一点从而产生像差,使对比度强的图形轮廓界限部分发生对比加强的边界效应,亮度较高的物体在视网膜上所成像的轮廓外就好像有一圈光圈围绕,使物体在视网膜上的成像扩大,看起来就会觉得比实物大一点,即“光渗现象”(白色的形体在黑色或暗色背景的衬托下,具有较强的反射光亮,呈扩张性地渗出)。当早晨太阳升起时,周围是暗色的天空,太阳会因为人眼对比,显得更加明亮,让人感觉非常大;而中午时,天空与太阳颜色相近,太阳与其亮度反差不大,因此显得较小。
此外,形状的对比也是导致观察到早上和中午太阳大小不同的原因之一。同一个物体放在比它大的物体群中会显得很小,而放在比它小的物体群中就会显得很大。比如一个西瓜,放在一盒樱桃附近,就会觉得它很大;而将这个西瓜与完整的菠萝蜜果实放在一起时又会觉得西瓜很小。同样的道理,日出的太阳周围多是树木或者房屋,相对照下的太阳就会显得大;而中午时,太阳在天空中,对比之下就会显得太阳较小,这就导致人们对太阳大小的认识是早上大中午小。
两小儿的争辩来源于他们看待问题的角度较为片面。在科技逐步发展的今天,我们在不断的探索和思考中越来越接近事物本质。科学的发展与完善总是伴随着批判与反思,不管是出于对自然界现象的好奇,还是出于对推动人类历史进步的责任担当,中国古代两小儿独立思考和大胆质疑的精神都值得被我们永久传承。
教师点评:
此文是小作者阅读语文教材《两小儿辩日》这篇文章之后,针对文章中两个小儿争论“太阳何时离我们远近”这个问题,从科学的角度进行思考,然后运用数学知识、物理知识进行思考和探究,形成一篇研究性小论文。学生之所以能从语文学科一篇文章出发,挖掘其中包含的相关科学知识,进而针对问题进行理性的思考,是因为我们用“跨学科”阅读活动给学生打开了一扇问题研究的大门。纵观当下的中高考试题改革,发现语文阅读因素已经出现在地理、历史、生物甚至数学试题中了,中高考试卷发生的变化,倒逼学校的阅读教学改革。
因此,我们立足语文学科,在阅读上软化学科边界。在语文阅读中渗透和挖掘相关学科的知识,配合有价值的、探究性问题的提供,驱动学生思考相关学科知识解决问题,以此培养学生深度阅读和深度思考问题的能力,提升学生的阅读素养。用阅读打破学科之间的学习壁垒,全面提高学生在阅读中发现问题、解决问题的能力。
冯淑娟(北京市语文教师、正高级教师,中国教育学会中学语文教学专业委员会理事)
吴爱兄(北京市骨干班主任、朝阳区物理骨干教师)
专家点评:
长期以来的文理分科教育使得许多人心中在“文科”和“理科”之间筑起一道高墙,语文与物理好像是关系不大的两门课程。事实上语言文字是表达思想的工具,而人的思维既包括文学、艺术的思维,同样包括逻辑、科学的思维。因此语文作为基础教育阶段最重要的基础课程,和物理课程有着密不可分的联系。
三位中学同学撰写的文章,系统地把语文课中《两小儿辩日》这篇古文的故事整理成为一组科学问题,并条理清晰地对问题进行逐个阐释。虽然对太阳辐照能量密度方面的描述不太准确,对太阳大小的视错觉解释也还有待进一步讨论,但本文基本的行文结构已经体现出作者掌握了基本的科学思维方式和论述结构,已经初步具备了探索科学问题的能力。
陈征(北京交通大学物理科学与工程学院副教授)
出品:科普中央厨房
监制:北京科技报 | 北科传媒
欢迎分享到朋友圈
未经授权谢绝转载

暂无评论
发表评论