上一回,咱们说到高阶等差数列的通项公式。又是举例子,又是找规律,还拿数学归纳法证明,折腾半天,就是为了推出下面这个结论。
真是一个漂亮而简洁的公式。咱们先试一个数列暖暖手。
下面进入今天的正题:高阶等差数列的前n项和
我想,这个题目写完之后,就结束了。
原来如此,这么简单!
玩一个,玩一个。
搞定!
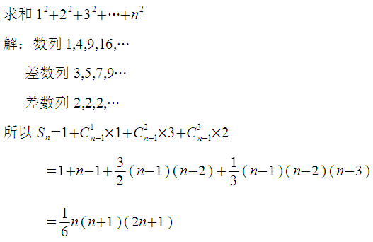
最后,我们还是拿幂和来玩耍。
是不是很简单,很爽快。我当年也是这个感觉。
在我的观念中,所谓漂亮的数学,就是推导很繁杂,但结果很简洁,记忆非常简单,使用非常有力。
而高阶等差数列,正具有这个特征。我想,除了搞数学的,没人会想用数学归纳法证明它的通项公式,但这个公式是既容易记又特别好用。
总之,一句话,如果高考不考的话,高阶等差数列也是很好玩、很简单,每个高中生都看得懂、学得会、喜欢玩的数学。

暂无评论
发表评论